Như các bạn thướng thấy trên đường có rất nhiều biển led..người ta mắc rất nhiều led với nhau tạo thàng những dòng chữ quảng cáo?và câu hỏi các bạn đặt ra là..làm thế nào điều khiển được 1 số lượng led lớn như vậy,mà điện áp,dòng chip điều khiển rất bé..để hiểu được Chip giới thiệu cho các bạn cách mắc led để điều khiển
Đối với LED màu ĐỎ và Vàng
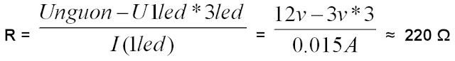
· Thông số kỹ thuật: VF = 1.9 -2.2 V, IF= 15-25mA
· Nguồn điện cung cấp là Nguồn Unguồn = 12V
· Chọn Hiệu điện thế trung bình của 2 loại bóng trên là: Uled = 2V
· Cường độ dòng điện qua led, ví dụ chọn I = 15mA = 0.015A
· Mắc nối tiếp 5 bóng với 1 con trở
· Chọn Hiệu điện thế trung bình của 2 loại bóng trên là: Uled = 2V
· Cường độ dòng điện qua led, ví dụ chọn I = 15mA = 0.015A
· Mắc nối tiếp 5 bóng với 1 con trở
· Ta có công thức tính trở là:
· Tuy nhiên Tuỳ theo Yêu cầu của khách hàng về độ sáng của Biển LED, ta có thể tăng, hoặc giảm giá trị Điện Trở R
· Để led sáng đẹp, thường chọn cường độ dòng điện qua led I = 20mA = 0.02A, ta tính được R = 100 Ohm.
· Để led sáng đẹp, thường chọn cường độ dòng điện qua led I = 20mA = 0.02A, ta tính được R = 100 Ohm.
Đối với LED màu TRẮNG, XANH LÁ CÂY, XANH DƯƠNG (XANH CÔBAN)
· Thông số kỹ thuật: VF = 3.0 -3.4 V, IF=15-25mA
. Nguồn điện cung cấp là Nguồn Unguon = 12V
· Chọn Hiệu điện thế trung bình của 3 loại bóng trên là: Uled = 3V
· Cường độ dòng điện qua led, ví dụ chọn I = 15mA = 0.015A
· Mắc nối tiếp 3 bóng với 1 con trở
· Chọn Hiệu điện thế trung bình của 3 loại bóng trên là: Uled = 3V
· Cường độ dòng điện qua led, ví dụ chọn I = 15mA = 0.015A
· Mắc nối tiếp 3 bóng với 1 con trở
· Ta có công thức tính trở là:
· Để led sáng đẹp, thường chọn cường độ dòng điện qua led I = 20mA = 0.02A, ta tính được R = 120 Ohm.
A. Cách đấu trở hạn dòng cho LED có điện áp từ 3,0 - 3,4V. (Bóng Trắng, Xanh lá, Xanh Dương)Trở càng lớn thì thì dòng qua trở lớn sẽ làm cho LED sáng yếu không đẹp, cần tính toán vừa đủ để LED sáng đẹp và bền:
1. Thường đấu 3 bóng nối tiếp và dùng trở hạn dòng
Giá trị lớn R1 = 12V-(Uled*3)/I dòng của LED.
Do 3 bóng là cùng loại nên I tổng = I1 = I2 = I3 .
Nếu mạch chỉ có thiếu 1 LED thì ta thêm 1 điện trở R2 nối tiếp với R1:
Giá trị R2 = Uled/Iled
Uled, Iled là giá trị ghi trên LED.
Nếu thiếu 2 LED thì R2=2xUled/Iled đấu vào bảng điều khiển.
Giá trị lớn R1 = 12V-(Uled*3)/I dòng của LED.
Do 3 bóng là cùng loại nên I tổng = I1 = I2 = I3 .
Nếu mạch chỉ có thiếu 1 LED thì ta thêm 1 điện trở R2 nối tiếp với R1:
Giá trị R2 = Uled/Iled
Uled, Iled là giá trị ghi trên LED.
Nếu thiếu 2 LED thì R2=2xUled/Iled đấu vào bảng điều khiển.
2. Đấu song song nhiều nhánh nối tiếp: (Kết hợp song song và nối tiếp)
Cách đấu này rất tiện lợi, chúng ta chỉ cần 1 trở công suất thay vì mỗi 1 nhánh lại thêm 1 điện trở.
Cách đấu này rất tiện lợi, chúng ta chỉ cần 1 trở công suất thay vì mỗi 1 nhánh lại thêm 1 điện trở.
Ở nhánh nào thiếu LED thì ta lại thêm giá trị điện trở như đấu nối tiếp 3 LED:
Do dùng chung 1 loại LED, nên khi đấu 3 nhánh song song thì giá trị của điện trở giảm đi 1/3 (Đấu N nhánh thì điện trở Rtổng = R1nhánh/Nnhánh). VD đấu nhánh 3 LED nối tiếp thì cần R hạn dòng là 220Ω. Đấu N nhánh song song với nhau thì giá trị R=220Ω/Nnhánh.
Công suất trở Nnhánh: P = Nnhánh(12V-3*U1led )*I1led .
- Nếu số nhánh nhiều quá sẽ tạo ra Công suất của trở sẽ cao (Tầm trên 10Watt thì chúng ta sẽ phải đấu // 1 con trở giá trị công suất nữa.
- Đấu song song cùng giá trị thì: Rtổng = R1/2 = R2/2 = Rn/n.
I tổng = I1 + I2 + In.
- Đấu nối tiếp cùng giá trị thì: Itổng = I1/2 = I2/2 = In/n.
R tổng = R1 + R2 + Rn.
Dòng của nguồn cần chọn là : I nguồn = n.I nhánh (n: số nhánh đấu 3 hoặc 5, I của 1 LED (vì các led giông nhau)
B. Với LED có điện áp từ 2.0 - 2,2V (Đỏ, Vàng) ta sẽ đấu 5 LED, cách đấu tương tự như cách đấu 3 LED điện áp 3,0 - 3,4V.
Mạch điều khiển có tín hiệu vào là mức âm, nên sau khi điện áp qua LED, qua trở thì đầu còn lại sẽ vào, các chân (lỗ) trên bảng mạch, hoặc có thể xoắn dây vào tản nhiệt của con típ.
Trên đây là cách đấu điện trở hạn dòng và vào mạch điều khiển.
Các sự cố thường gặp với mạch điều khiển LED:
- Nếu số LED bạn cần đấu lớn hơn giới hạn của 1 Kênh( bạn phải tính theo hướng dẫn cách đấu điện trở vào mạch), bạn có thể sử dụng 2 kênh thành 1 kênh hoặc đấu thêm 1 con TIP song song ( Trường hợp này rất ít, vì 1 chữ rất lớn).
- Điện áp đầu vào của mạch không được vượt quá 24V cho cả xoay chiều và 1 chiều. Không thì mạch sẽ bị cháy nổ.
- Đèn báo hiệu điện áp không vào kiểm tra xem IC ổn áp hoặc nguồn vào.
- Chíp đang chạy mà dừng, kiểm tra xem thạch anh hoặc test lại chíp.
- Những LED hiển thị số kênh ra không sáng: kiểm tra LED vẫn sáng thì chết TÍP.
- Nếu đấu mạch vào biển LED thấy hiện tượng không chạy hay sụt áp thì kiểm tra lại biển LED xem đấu chạm ở đâu.
Trên đây là những hiện tượng thường gặp.
Chúc các bạn thành công!
Chúc các bạn thành công!




Đăng nhận xét